MaksimoffDesigns
Women opal ring, inlay ring, silver stacking ring
Women opal ring, inlay ring, silver stacking ring
Low stock: 10 left
Couldn't load pickup availability
Beautiful flashy opal inlay ring. It's very feminine and delicate inlay ring. The lab opal is giving a beautiful sparkly effect and it looks like You are wearing a rainbow on Your finger! Perfect gift for Your loved one, or a something to treat Yourself!
The ring is sent in a ring box, so it is gift ready!
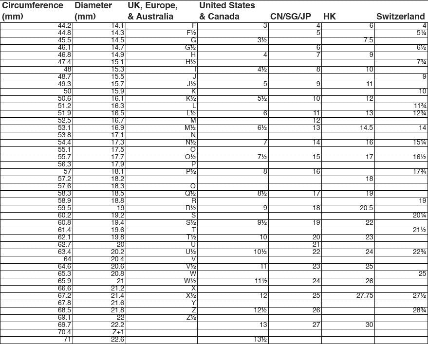
If You are unsure about Your ring size, we offer reusable ring sizers, You can buy them here ---> https://etsy.me/2FMR6TV
Please note - due to the making of the ring, it will vary slightly from the listing photo, if You require clarification please leave us a message!
Please note - this ring is made of Sterling silver and it can oxidize (get darker) if not worn for longer time periods. Do not worry - just clean it with silver polishing paste or silver polishing cloths.
Share








