Skip to product information
1 of 11

MaksimoffDesigns

Viking silver ring, Brutalist men ring, Sterling silver band

Viking silver ring, Brutalist men ring, Sterling silver band

Regular price £70.00 GBP
Regular price Sale price £70.00 GBP
Sale Sold out
Shipping calculated at checkout.
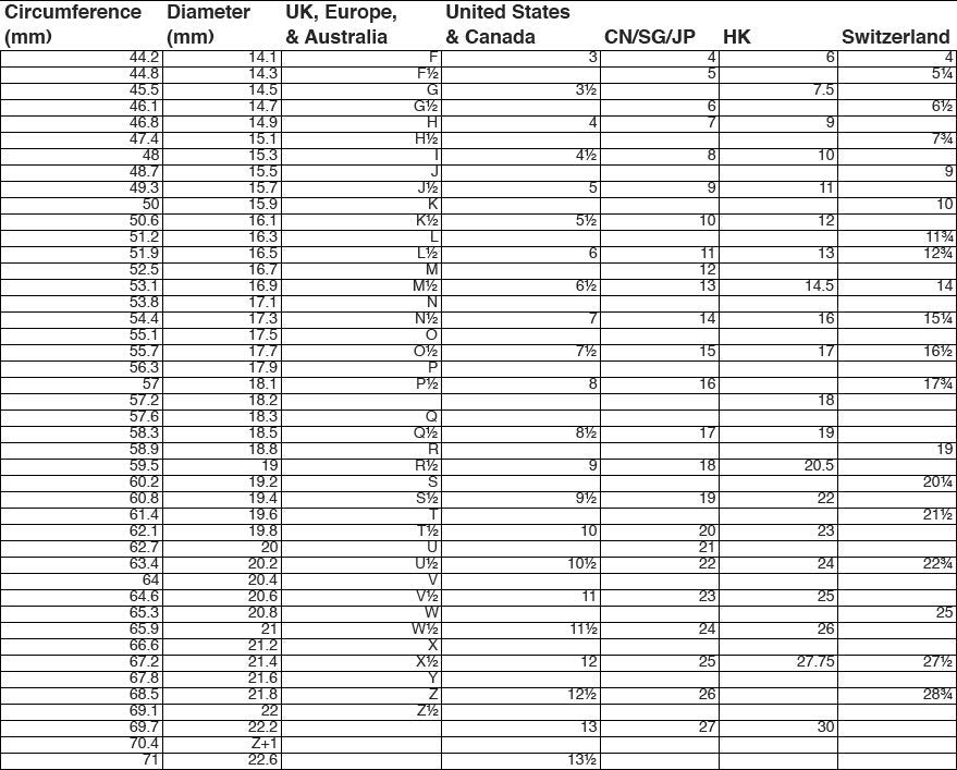
Ring size
Width

47 in stock

Quantity

Striking Viking-style ring. The band is made of distressed, scratched, and oxidized silver with deep scratches that highlight the design. The band itself reminds of some old piece of jewelry that could belong to the brave warrior and the style resembles one of the medieval Vikings.
This Sterling silver ring most definitely will attract attention, and imagine what kind of perfect wedding ring it could be!

Due to the process of making this ring, the actual ring will vary slightly from the listing photo. Please let us know if You have any specific requests when making the purchase!

Please note - this is a handmade ring and dents are intentional and part of the design.

View full details