Skip to product information
1 of 11

MaksimoffDesigns

Viking rune ring, Sterling silver band, personalised ring

Viking rune ring, Sterling silver band, personalised ring

Regular price £100.00 GBP
Regular price Sale price £100.00 GBP
Sale Sold out
Shipping calculated at checkout.
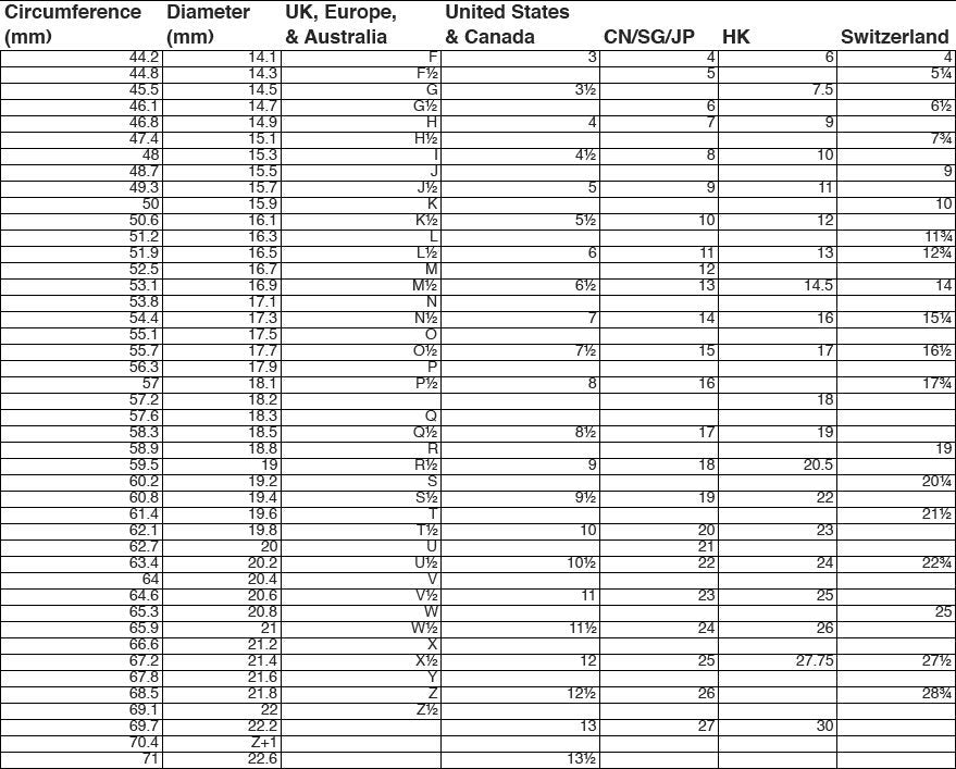
Ring size
Width of the band

43 in stock

What not to love about this ring - it is a fabulous Sterling silver ring with a distressed scratched and oxidized look and it's customizable. You can choose which runes will appear across the band to create a unique look and maybe even to make this ring as a good luck talisman. The look is subtle so it won't be too distracting and You still will be able to wear it on any occasion life throws at You. It will even make an absolutely unique and unusual wedding ring!!

Due to the process of making this ring, the actual ring will vary slightly from the listing photo. Please let us know if You have any specific requests when making the purchase!

Please note - this is a handmade ring and oxidation/patina is intentional and part of the design.

View full details