1
/
of
9
MaksimoffDesigns
Twisted silver ring, Namejs band, unisex ring, Celtic ring
Twisted silver ring, Namejs band, unisex ring, Celtic ring
Regular price
£56.00 GBP
Regular price
Sale price
£56.00 GBP
Unit price
/
per
Shipping calculated at checkout.
Low stock: 9 left
Couldn't load pickup availability
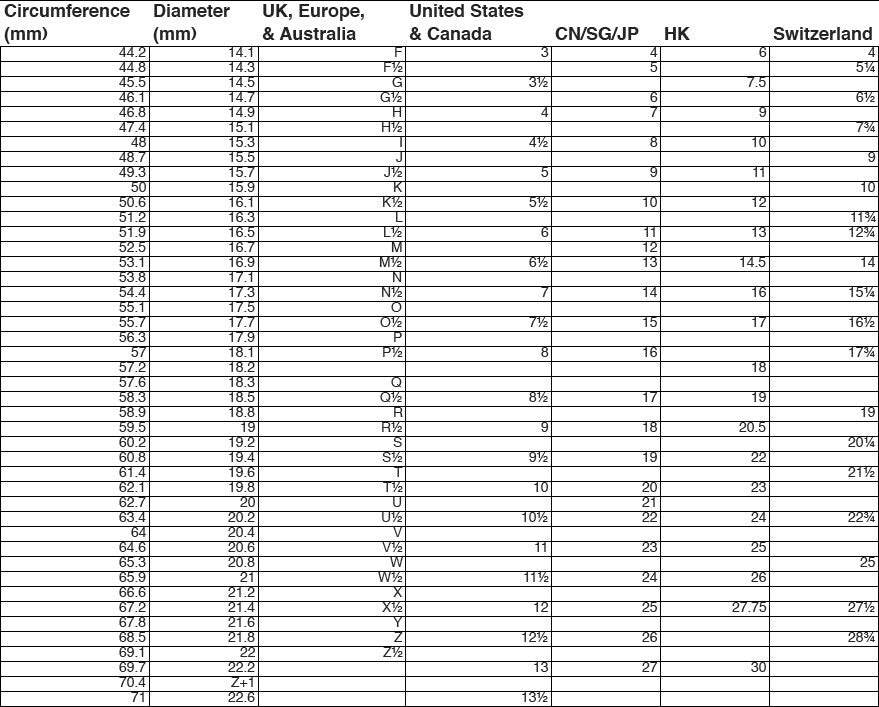
This simple Namejs Sterling silver ring is inspired by Viking and Latvian folk styles. The twisted look gives depth to the ring, and a little silver patina is, even more, enhancing this effect. Made to fit them both - him and her, a really lovely unisex ring.
Ring which represents independence, friendship, and trust.
Please note - this is a handmade ring and oxidation/patina is intentional and part of the design.
Please note - this ring is made of Sterling silver and it can oxidize (get darker) if not worn for longer time periods. Do not worry - just clean it with silver polishing paste (it won't affect the appearance of the pearl) or silver polishing cloths.
Share
