1
/
of
5
MaksimoffDesigns
Sterling silver snake ring
Sterling silver snake ring
Regular price
£50.00 GBP
Regular price
Sale price
£50.00 GBP
Unit price
/
per
Shipping calculated at checkout.
Low stock: 3 left
Couldn't load pickup availability
The sterling silver snake ring is a wonderful gift or a fantastic symbol of power for yourself. It is a very classy and elegant-looking ring that will suit any occasion.
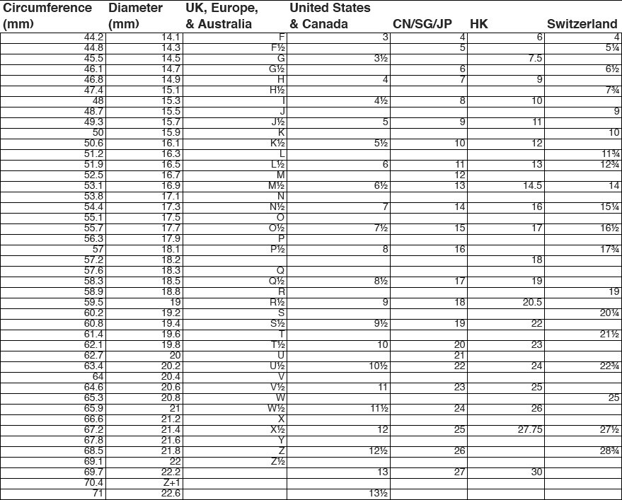
Please note that due to the ring's shape, the size can be changed from 0.5 to 1 size.
Please note - this is a handmade ring and oxidation/patina, dents and scratchers are intentional and part of the design.
Share
