1
/
of
9
MaksimoffDesigns
Sterling silver ring, Skull brutalist band
Sterling silver ring, Skull brutalist band
Regular price
£100.00 GBP
Regular price
Sale price
£100.00 GBP
Unit price
/
per
Shipping calculated at checkout.
Low stock: 4 left
Couldn't load pickup availability
A Sterling silver skull ring, will be a perfect gift for your loved ones or a perfect present for yourself.
Please note - this is a handmade ring and oxidation/patina, dents and scratchers are intentional and part of the design.
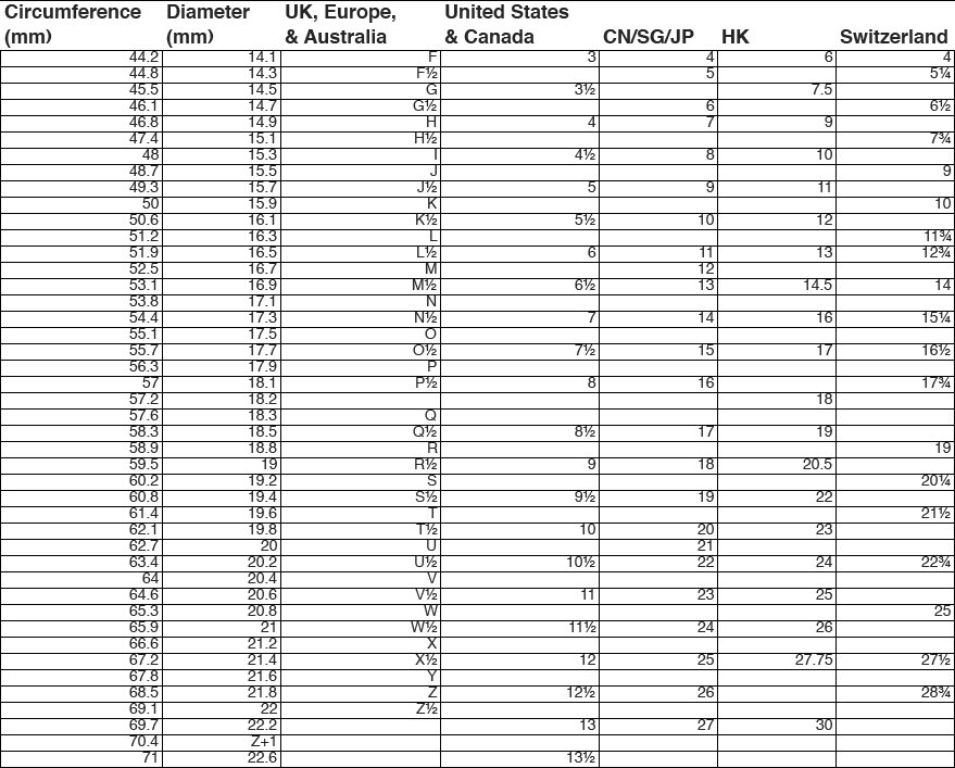
The width of the ring top is approx 15 mm.
The width of the ring bottom is approx 7 mm.
Share








