1
/
of
9
MaksimoffDesigns
Skull ring, Sterling silver brutalist band
Skull ring, Sterling silver brutalist band
Regular price
£87.50 GBP
Regular price
Sale price
£87.50 GBP
Unit price
/
per
Shipping calculated at checkout.
Low stock: 4 left
Couldn't load pickup availability
A sterling silver skull ring will be a perfect gift for your loved ones or a perfect present for yourself.
Please note - this is a handmade ring and oxidation/patina, dents and scratchers are intentional and part of the design.
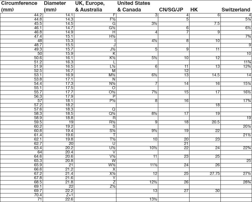
The width of the ring is approx 9 mm.
Share







