1
/
of
9
MaksimoffDesigns
Silver Skull ring, Demon Horn brutalist band
Silver Skull ring, Demon Horn brutalist band
Regular price
£115.75 GBP
Regular price
Sale price
£115.75 GBP
Unit price
/
per
Shipping calculated at checkout.
47 in stock
Couldn't load pickup availability
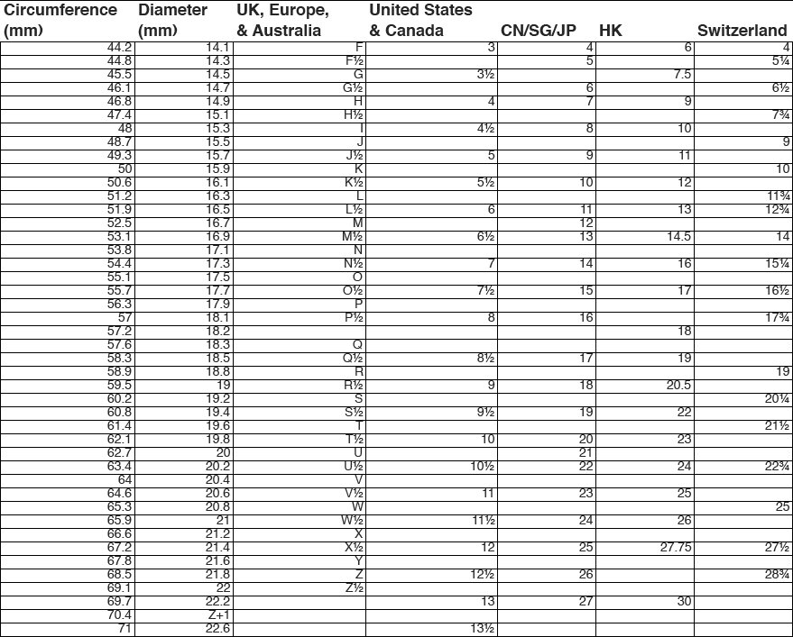
A sterling silver brutal demon horn skull ring will be a perfect gift for your loved ones or a perfect present for yourself.
Please note - this is a handmade ring and oxidation/patina, dents and scratchers are intentional and part of the design.
Share







