1
/
of
8
MaksimoffDesigns
Silver fracture ring, Rough brutalist style band
Silver fracture ring, Rough brutalist style band
Regular price
£75.00 GBP
Regular price
Sale price
£75.00 GBP
Unit price
/
per
Shipping calculated at checkout.
33 in stock
Couldn't load pickup availability
Rough fracture, a silver ring for men or women. The band is made of distressed, scratched, and oxidized silver with scratches that highlight the design. It can be a perfect gift or a unique wedding ring. This Sterling silver ring most definitely will attract attention.
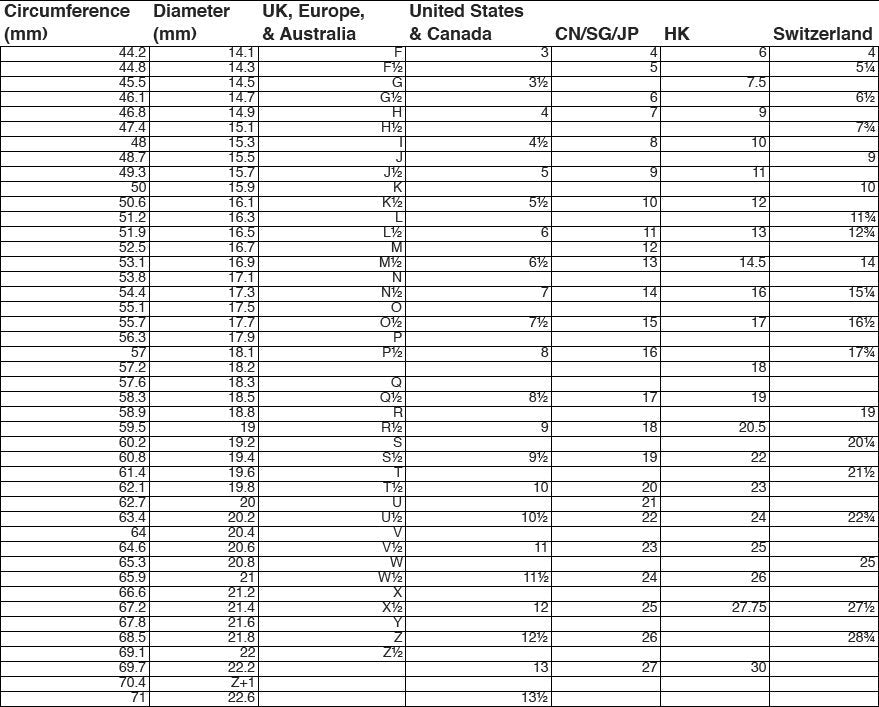
the width of the ring is approx 9 mm wide.
Due to the process of making this ring, the actual ring will vary slightly from the listing photo. Please let us know if You have any specific requests when making the purchase!
Please note - this is a handmade ring and dents are intentional and part of the design.
Share
