Skip to product information
1 of 11

MaksimoffDesigns

Silver cross signet ring, Heavy wide Brutalist band

Silver cross signet ring, Heavy wide Brutalist band

Regular price £170.00 GBP
Regular price Sale price £170.00 GBP
Sale Sold out
Shipping calculated at checkout.
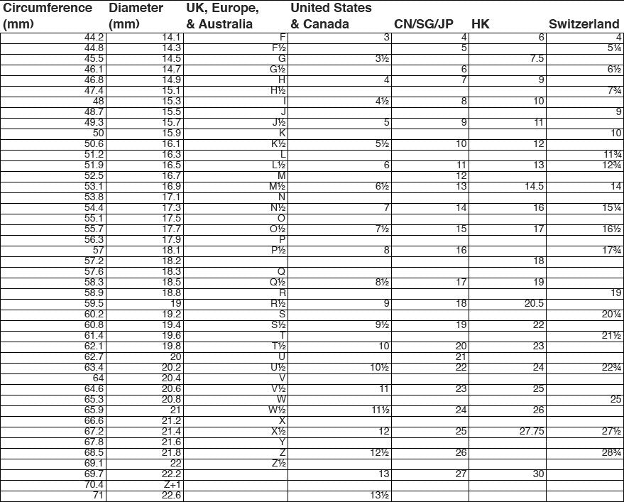
Ring size

20 in stock

Silver cross signet ring, Heavy wide Brutalist band is patterned, and oxidized to give it a dimension and unique appearance. It reminds me of an old ring, which possibly was left in the ground for many many centuries, and nature and time have etched a cross on its surface to symbolize resistance, persistence, and strength despite any adversities.
This will be a perfect everyday ring! Treat Yourself or give it as a present for a loved one!

The width of the top of the ring is approx. 2.2 x 2.6 cm

Please note - this is a handmade ring and oxidation/patina is intentional and part of the design.

The oxidizing isn’t permanent – it will wear over time back to a smoky silver color. This is not a defect, it’s a feature of the design. If you are looking for a permanently black ring, this is not it.


View full details