1
/
of
6
MaksimoffDesigns
Silver bark ring, oxidised distressed ring, unique wedding band
Silver bark ring, oxidised distressed ring, unique wedding band
Regular price
£50.00 GBP
Regular price
Sale price
£50.00 GBP
Unit price
/
per
Shipping calculated at checkout.
Low stock: 3 left
Couldn't load pickup availability
This silver bark ring will be a perfect gift for a friend or a wonderful gift for yourself.
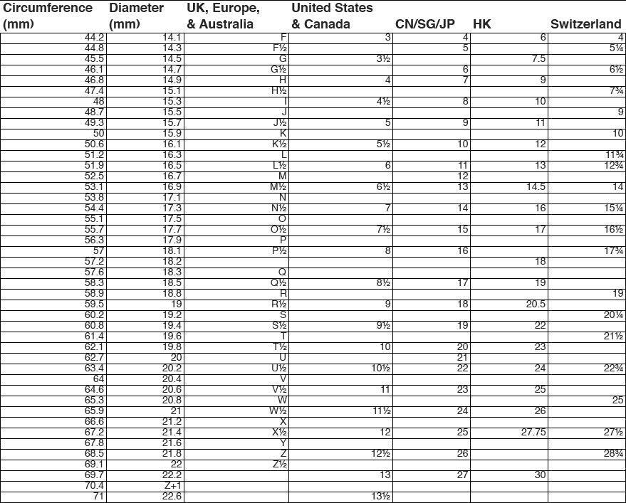
Ring width 8 mm approx.
Please note - this is a handmade ring and dents are intentional and part of the design.
Share
