Skip to product information
1 of 11

MaksimoffDesigns

Rough Brutalist silver signet ring

Rough Brutalist silver signet ring

Regular price £80.00 GBP
Regular price Sale price £80.00 GBP
Sale Sold out
Shipping calculated at checkout.
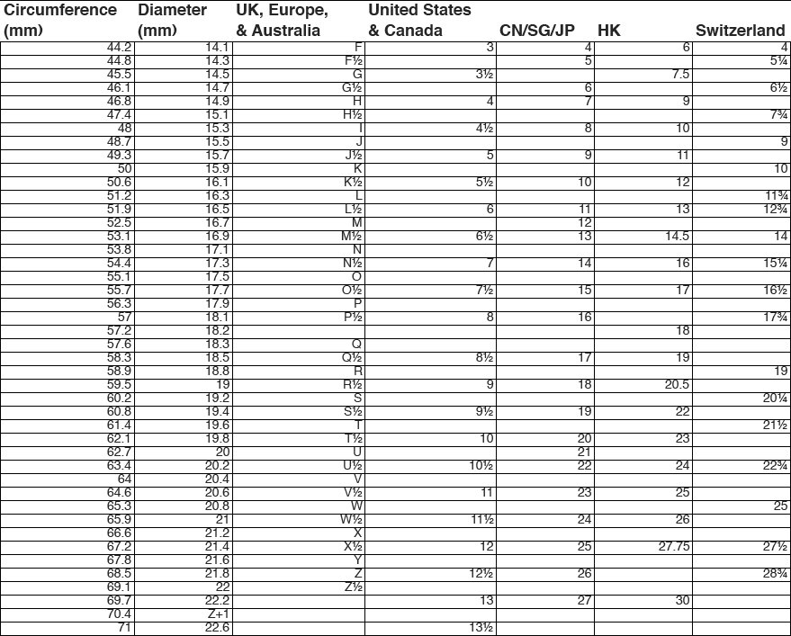
Ring size

99 in stock

Quantity

Rough brutalist style signet ring for men. The band is made of distressed, scratched, and oxidized silver with scratches that are highlighting the design. It can be a perfect gift or a unique wedding ring. This Sterling silver ring most definitely will attract attention.
The top of the ring is approx 12mm wide.

Due to the process of making this ring, the actual ring will vary slightly from the listing photo. Please let us know if You have any specific requests when making the purchase!

Please note - this is a handmade ring and dents are intentional and part of the design.


View full details