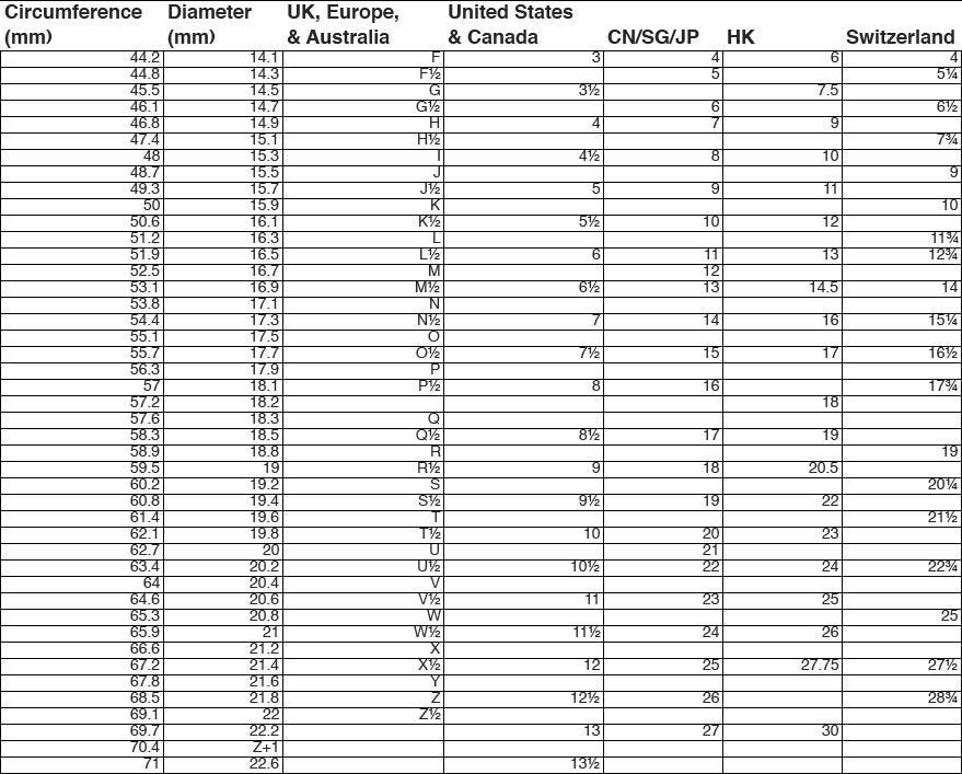
1
/
of
9
MaksimoffDesigns
Robot Skull ring, Sterling silver band
Robot Skull ring, Sterling silver band
Regular price
£115.75 GBP
Regular price
Sale price
£115.75 GBP
Unit price
/
per
Shipping calculated at checkout.
48 in stock
Couldn't load pickup availability
A sterling silver brutal robot skull ring will be a perfect gift for your loved ones or a perfect present for yourself.
Please note - this is a handmade ring and oxidation/patina, dents and scratchers are intentional and part of the design.
Share







