1
/
of
8
MaksimoffDesigns
Punk Skull silver signet ring.
Punk Skull silver signet ring.
Regular price
£104.00 GBP
Regular price
Sale price
£104.00 GBP
Unit price
/
per
Shipping calculated at checkout.
46 in stock
Couldn't load pickup availability
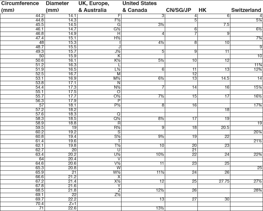
A sterling silver Punk skull signet ring will be a perfect gift for your loved ones or a perfect present for yourself.
Please note - this is a handmade ring and oxidation/patina, dents and scratchers are intentional and part of the design.
Share







