Skip to product information
1 of 8

MaksimoffDesigns

Hammered sterling ring, oxidised silver band, unusual wedding ring

Hammered sterling ring, oxidised silver band, unusual wedding ring

Regular price £56.00 GBP
Regular price Sale price £56.00 GBP
Sale Sold out
Shipping calculated at checkout.
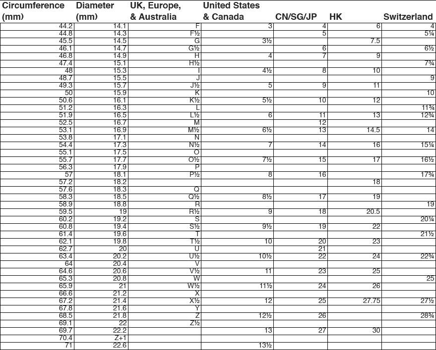
Ring size
Width

19 in stock

This is a handmade silver hammered band ring. Can be an unusual wedding or engagement ring. And it can be in a minimalist style, a great present for yourself or your loved ones.

Due to the process of making this ring, the actual ring will vary slightly from the listing photo. Please let us know if you have any specific requests when making the purchase!

Please note - this is a handmade ring and dents are intentional and part of the design.


View full details