Skip to product information
1 of 10

MaksimoffDesigns

Hammered stacking ring, oxidized silver band, thin Sterling ring

Hammered stacking ring, oxidized silver band, thin Sterling ring

Regular price £66.00 GBP
Regular price Sale price £66.00 GBP
Sale Sold out
Shipping calculated at checkout.
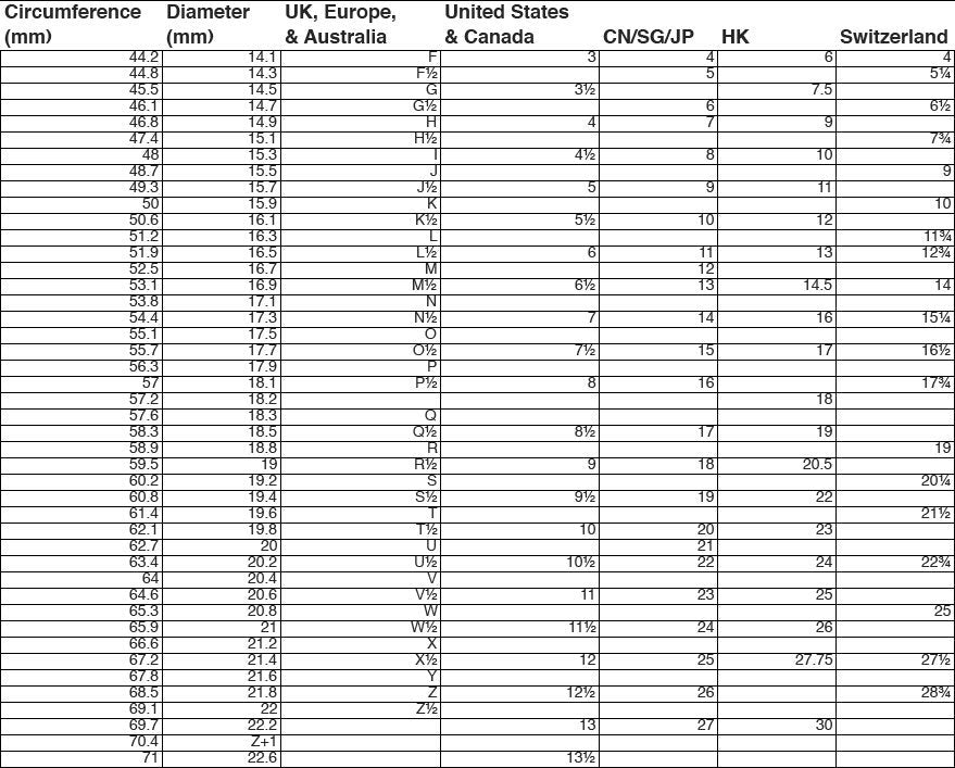
Ring size

46 in stock

This unisex Sterling silver ring is hammered and patterned and oxidised to give it a dimension and unique appearance. It reminds of an old ring, which possibly was left in the ground for many many centuries and nature and time has etched a cross on its surface to symbolise resistance, persistence and strength despite any adversities.
This will be a perfect everyday ring or an amazing and stylish wedding ring! Treat Yourself or give it as a present for a loved one!

The width of the band is approx. 6mm

Due to the process of making this ring, the actual ring will vary slightly from the listing photo. Please let us know if You have any specific requests when making the purchase!

Please note - this is a handmade ring and oxidation/patina is intentional and part of the design.

The oxidising isn’t permanent – it will wear over time back to a smoky silver colour. This is not a defect, it’s a feature of the design. If you are looking for a permanently black ring, this is not it.

 

View full details