Skip to product information
1 of 10

MaksimoffDesigns

Hammered silver band, oxidised ring for men, unique wedding ring

Hammered silver band, oxidised ring for men, unique wedding ring

Regular price £61.00 GBP
Regular price Sale price £61.00 GBP
Sale Sold out
Shipping calculated at checkout.
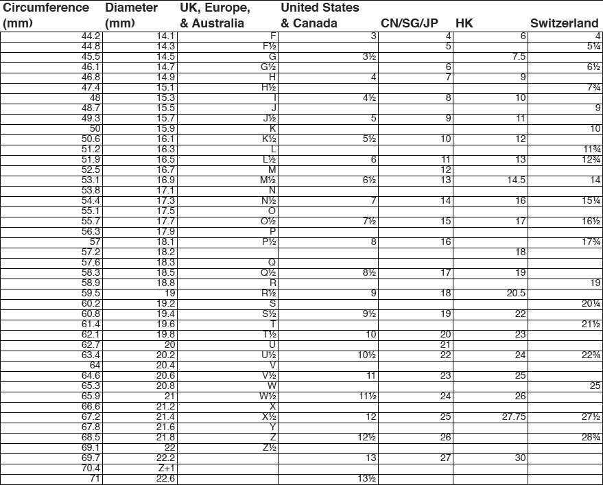
Ring size
Width

26 in stock

Quantity

Distressed rings always look like they have a fascinating story to tell. Like they are part of an old fairy tale or have come straight out of an ancient legend. They have character and personality. And most important _ they never look the same, even if made by the same craftsman. And this ring is just like that, it is unusual, it tells a story. Your story. It can be whatever You want it to be!
This scratched band ring can be a unique wedding or an engagement ring, or simply a great present for yourself or your loved ones.

Due to the process of making this ring, the actual ring will vary slightly from the listing photo. Please let us know if You have any specific requests when making the purchase!

Please note - this is a handmade ring and oxidation/patina is intentional and part of the design.

View full details