Skip to product information
1 of 10

MaksimoffDesigns

Hammered oxidized silver band, viking warrior ring

Hammered oxidized silver band, viking warrior ring

Regular price £46.00 GBP
Regular price Sale price £46.00 GBP
Sale Sold out
Shipping calculated at checkout.
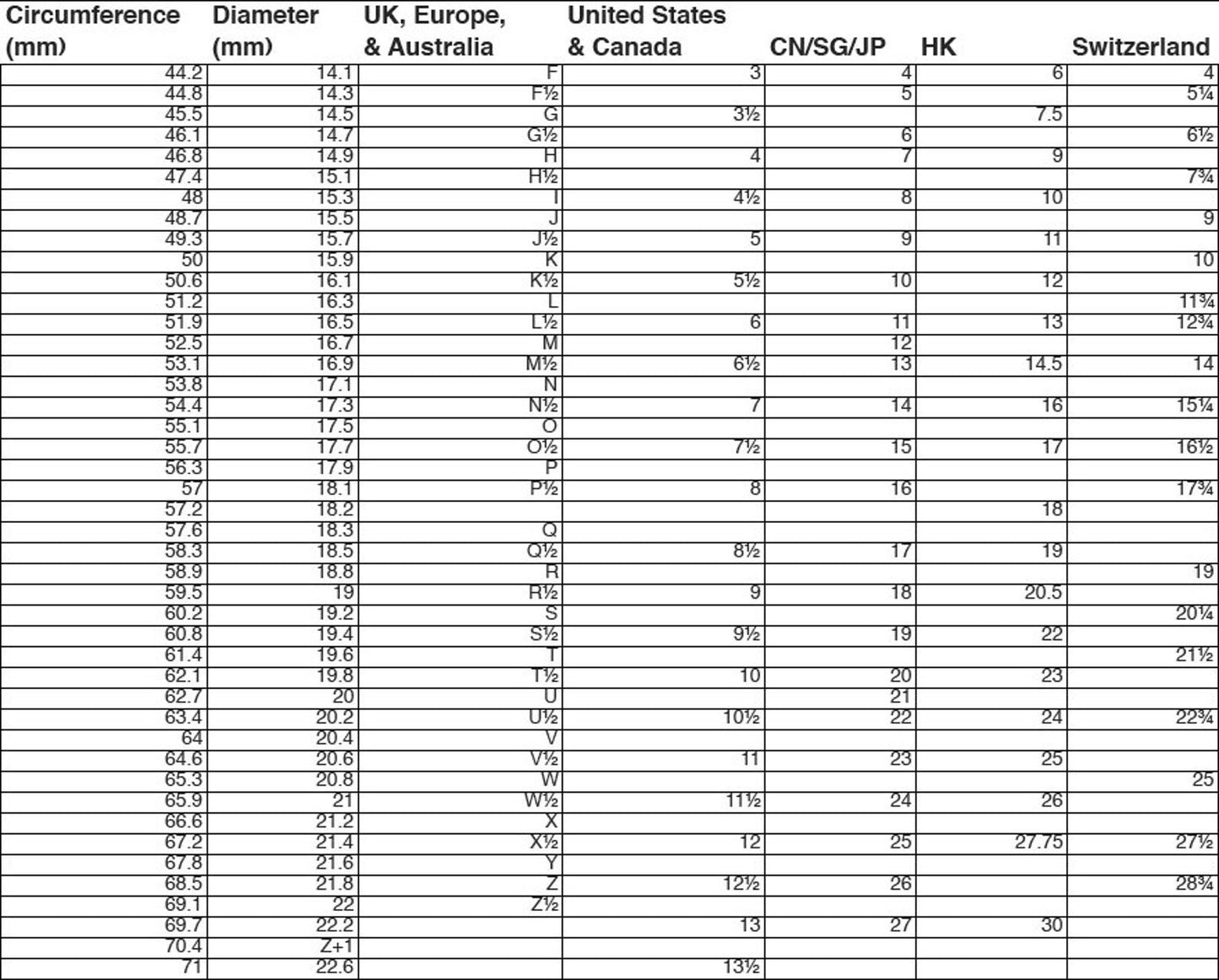
Ring size
Width

38 in stock

Striking brutalist style ring for men. The band is made of distressed, scratched and oxidised silver with deep scratches that are highlighting the design. The band itself reminds of some old piece of jewellery who could belong to the brave warrior and the style resembles one of the medieval Vikings.
This Sterling silver ring most definitely will attract the attention, and imagine what kind of perfect wedding ring it could be!

Due to the process of making this ring, the actual ring will vary slightly from the listing photo. Please let us know if You have any specific requests when making the purchase!

Please note - this is a handmade ring and dents are intentional and part of the design.


View full details