1
/
of
6
MaksimoffDesigns
Gothic Skull ring, Sterling silver brutalist band
Gothic Skull ring, Sterling silver brutalist band
Regular price
£100.00 GBP
Regular price
Sale price
£100.00 GBP
Unit price
/
per
Shipping calculated at checkout.
100 in stock
Couldn't load pickup availability
A sterling silver gothic skull ring will be a perfect gift for your loved ones or a perfect present for yourself.
Please note - this is a handmade ring and oxidation/patina, dents and scratchers are intentional and part of the design.
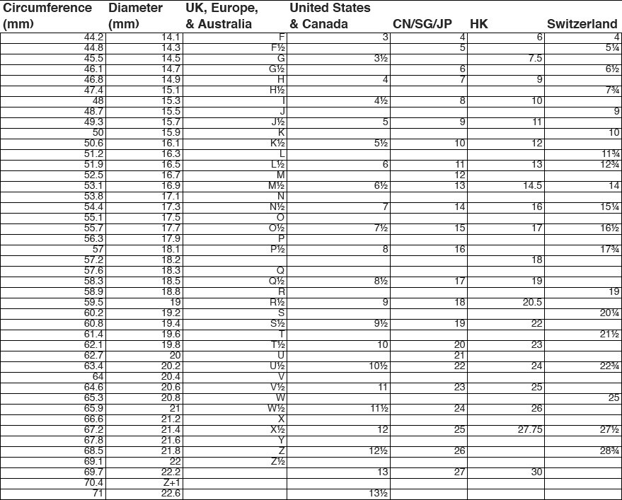
The width of the ring top is approx 16 mm.
The width of the ring bottom is approx 5 mm.
Share




