Skip to product information
1 of 11

MaksimoffDesigns

Distressed silver ring, scratched band

Distressed silver ring, scratched band

Regular price £44.00 GBP
Regular price Sale price £44.00 GBP
Sale Sold out
Shipping calculated at checkout.
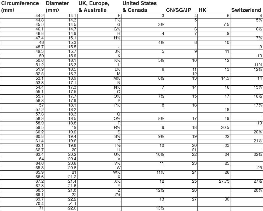
Ring size
Width

49 in stock

This is a handmade Silver scratched band ring. Can be a custom-made unique gift. And it can be a great present for yourself or your loved ones.

Due to the process of making this ring, the actual ring will vary slightly from the listing photo. Please let us know if You have any specific requests when making the purchase!

Please note - this is a handmade ring and oxidation/patina is intentional and part of the design.

View full details