1
/
of
10
MaksimoffDesigns
Cyborg skull ring, rocker bicker silver band
Cyborg skull ring, rocker bicker silver band
Regular price
£109.50 GBP
Regular price
Sale price
£109.50 GBP
Unit price
/
per
Shipping calculated at checkout.
Low stock: 9 left
Couldn't load pickup availability
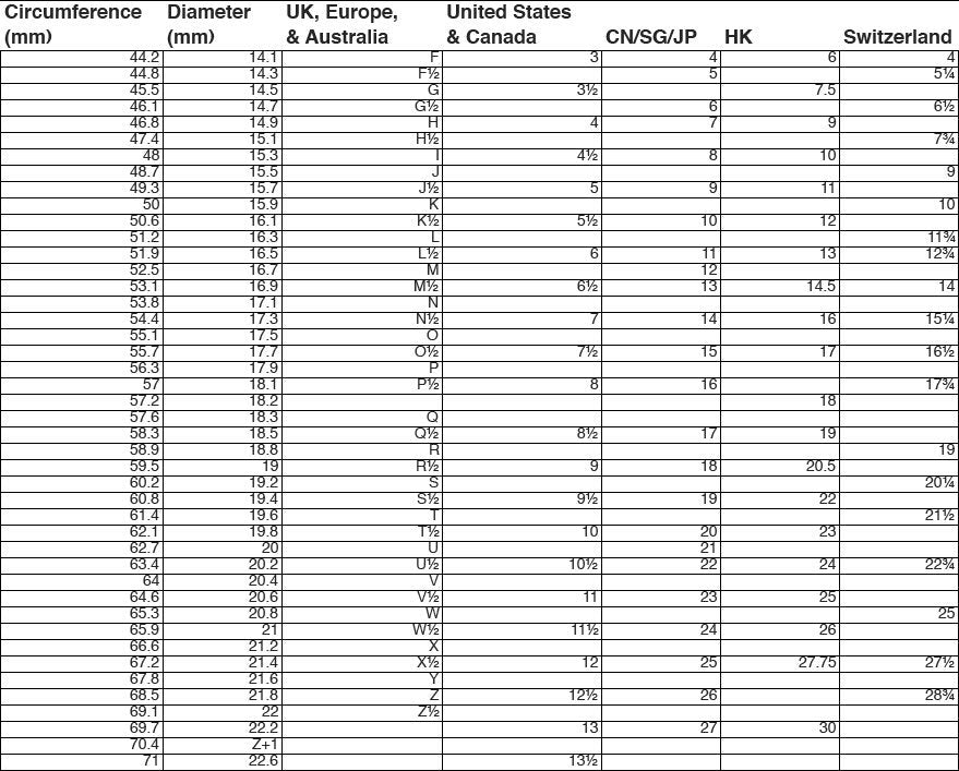
Cyborg skull ring, rocker bicker silver band. The band is made of distressed and oxidized silver. This ring has a really interesting microchip pattern. It can be a perfect gift or a unique wedding ring. This Sterling silver ring most definitely will attract attention.
Please note - this is a handmade ring and dents are intentional and part of the design.
Share








