Skip to product information
1 of 6

MaksimoffDesigns

Brutalist silver ring, wide viking warrior ring, Sterling silver band,

Brutalist silver ring, wide viking warrior ring, Sterling silver band,

Regular price £56.00 GBP
Regular price Sale price £56.00 GBP
Sale Sold out
Shipping calculated at checkout.
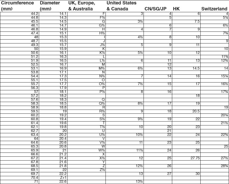
Ring size
Width

18 in stock

Unlock your inner warrior with our Brutalist silver ring. Crafted with bold Viking-inspired design, this wide Sterling silver band exudes strength and masculinity. Perfect for those who crave adventure and embrace risk-taking, this ring is a statement piece that will add a touch of Norse power to any outfit.

The ring will be sent in a ring box, and will be gift-ready!

Due to the process of making this ring, the actual ring will vary slightly from the listing photo. Please let us know if You have any specific requests when making the purchase!

Please note - this is a handmade ring and dents are intentional and part of the design.


View full details