MaksimoffDesigns
Black gray wedding ring, Sterling silver band, oxidised ring
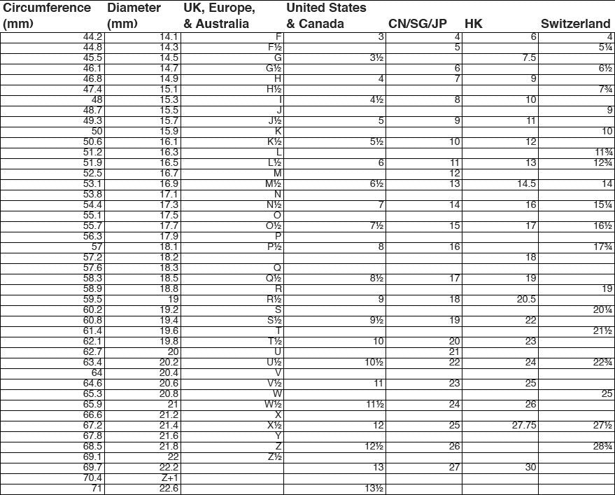
Black gray wedding ring, Sterling silver band, oxidised ring
Low stock: 10 left
Couldn't load pickup availability
Unique and unusual black-gray Sterling silver band. Where's the uniqueness of this ring? Simple - it has been oxidized which gives it a distinctive black-gray color, however, this is not a permanent finish - it will face and change while you are wearing it, and it will evolve together with you. No ring will look the same, it will have its own story to tell. And it makes it a perfect choice to be your wedding ring, telling a tale of your love and adventures, ups and downs...
All our jewelry is made to order and the processing time is 1-3 weeks
Due to the process of making this ring, the actual ring will vary slightly from the listing photo. Please let us know if You have any specific requests when making the purchase!
Please note - this is a handmade ring and oxidation/patina is intentional and part of the design. The oxidizing isn’t permanent – it will wear over time back to a smoky silver color. This is not a defect, it’s a feature of the design. If you are looking for a permanently black ring, this is not it. You can re-oxidise your ring yourself at any time using this simple and safe method
http://www.wikihow.com/Oxidize-Silver-with-Egg-Yolks
- The finish is a grey-black - a charcoal/gunmetal shade. Due to variations in computer monitors, it may look darker than it is.
Share








