MaksimoffDesigns
Baltic amber statement ring, Sterling silver ring, size T ring
Baltic amber statement ring, Sterling silver ring, size T ring
Low stock: 1 left
Couldn't load pickup availability
A beautiful Baltic amber statement ring in oxidised and hammered silver. The amber used in this ring is really stunning, You'll see the yellowish, golden and brown tones what will manifest as light falls on it. It is a truly unique and unusual gem! The band of the ring is hammered and oxidised which gives the ring it's unusual appearance. This is a true eye-catcher and You will definitely get many compliments on it!
This ring is sent in a lovely ring box and is gift-ready!
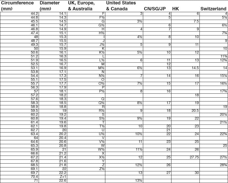
Ring size UK/AU/EU - T
USA/CA - 9.3/4
HK - 22
Diameter 19,6mm
Amber is one of the world’s oldest and most coveted treasures, a “Gold of the Sea” intrinsically formed by light and life, preserved by time, and washed up on the shores for humanity, a talisman of beauty, protection, and renewal.
Amber is a natural purifier, esteemed for its ability to draw pain and disease from the physical body, as well as the mind and spirit, by absorbing negative or stagnant energies and transforming them into clear, positive energy.
Please note - this ring is made of Sterling silver and it can oxidize (get darker) if not worn for longer periods. Do not worry - just clean it with silver polishing paste (it won't affect the appearance of the stone) or silver polishing cloths.
Share





