MaksimoffDesigns
Amethyst band, Sterling silver ring, unique wedding ring
Amethyst band, Sterling silver ring, unique wedding ring
Low stock: 6 left
Couldn't load pickup availability
All our jewelry is made to order and the processing time is 1-3 weeks
A beautiful faceted amethyst ring in a rustic style will be a perfect wedding ring or just an unusual and unique accessory to accent your style.
This will be a fabulous gift for someone special or an amazing treat for Yourself!
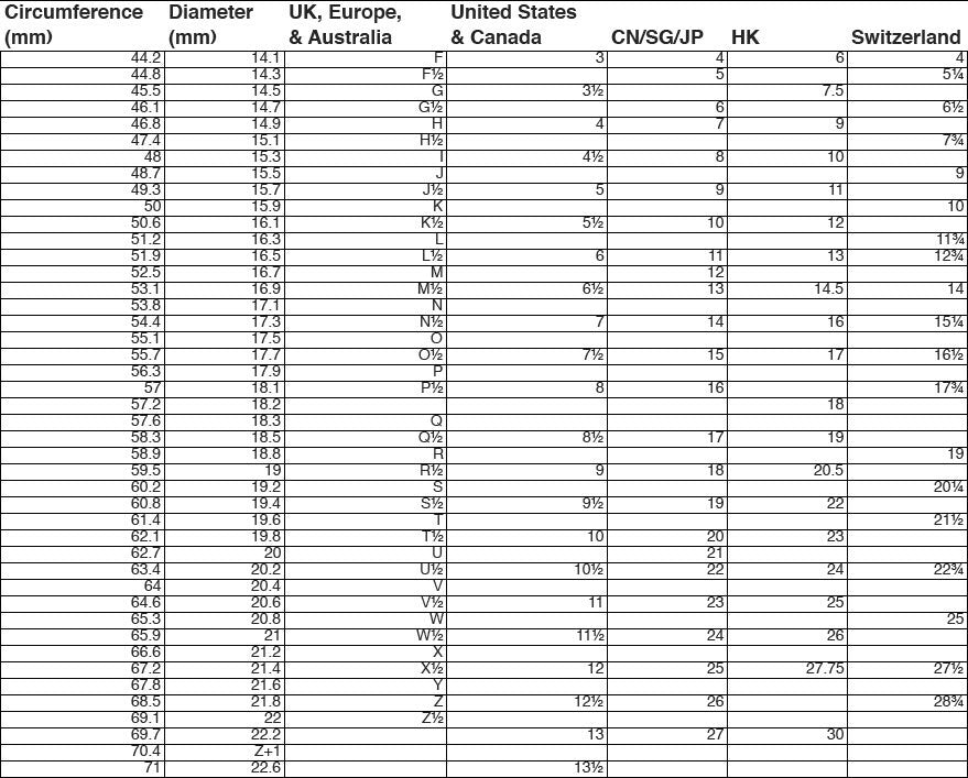
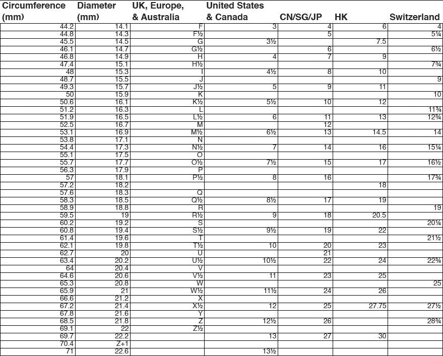
Ring width 5mm
Please note - we use natural stones, so the colour might slightly differ from the stock photo. It's not a defect, but more a unique trait of the gemstone.
Purple Amethyst has been highly esteemed throughout the ages for its stunning beauty and legendary powers to stimulate, and soothe, the mind and emotions. Amethyst stimulates the Third Eye, Crown and Etheric Chakras enhancing cognitive perception as well as accelerating the development of intuitive and psychic ability. It initiates wisdom and greater understanding and is a stone of comfort for those grieving the loss of a loved one.
Amethyst is the stone of St. Valentine and of faithful lovers because St. Valentine was thought to have worn an Amethyst ring engraved with the image of Cupid. It is also referred to as the “couple’s stone” and gives meaning to relationships that over time, transcends the carnal union and gives way to a deeper connection and a more soulful communion. Wear as an engagement or eternity ring for fidelity, or as a locket to call back lost love.
Please note - this is a handmade ring and oxidation/patina is intentional and part of the design.
The oxidising isn’t permanent – it will wear over time back to a smoky silver colour. This is not a defect, it’s a feature of the design. If you are looking for a permanently black ring, this is not it.
Share








